# 半导体器件基础

# 半导体电子器件

  • 二极管
    • 类型:金属-半导体二极管、半导体PN结二极管。
    • 应用:整流、混频。
  • 晶体管(三极管)
    • 类型:半导体晶体管、金属-氧化物-半导体场效应管(MOSFET)。
    • 应用:交流信号放大。
  • 集成电路
    • 特点:在同一芯片内集成无数个晶体管、电阻、电容等。
    • 应用:广泛应用于计算机、手机等领域,无所不在。

# 半导体光子器件

  • 光学吸收
    • 太阳能电池:将光能转化为电能,作为电源给负载供电。主要以硅(Si)材料为主。
    • 光电探测器:将光信号转换为电信号。常用材料包括Si、锗(Ge)、砷化铟镓(InGaAs)。
  • 产生光信号
    • 发光二极管(LED):将电流转化为光。
      • 可见光:用于照明、显示。
      • 红外光:用于低速率通信、遥控。
    • 激光二极管(LD):将电流转化为激光。
      • 特点:产生的光子具有很好的单色性、相干性和方向性。
      • 应用:高速光通信、光存储、激光测距等。
    • 材料:砷化镓(GaAs)、磷化铟(InP)、氮化镓(GaN)等。探索Si材料发光是重要研究方向。

# 载流子浓度与费米能级

# 半导体的能带模型

  • 能带结构:最高的满带(价带)的电子容易被激发到上面的空带(导带)。
  • 载流子:导带中的电子和价带中的空穴。
  • 禁带:导带和价带之间的能量间隙,其宽度 EgE_g 一般小于 2 eV。

# 状态密度

  • 自由电子

    g(E)=V2π2(2m2)3/2E1/2g(E)=\frac{V}{2\pi^2}\left(\frac{2m}{\hbar^2}\right)^{3/2}E^{1/2}

  • 半导体电子、空穴

    g(E)=V2π2(2m2)3/2ΔE1/2g(E)=\frac{V}{2\pi^2}\left(\frac{2m^*}{\hbar^2}\right)^{3/2}\Delta E^{1/2}

    其中 ΔE\Delta E 是与导带底或价带顶的能量差,mm^* 为有效质量。

# 半导体中载流子的费米统计分布

  • 导带底电子的能态密度

    N(E)=4π(2m)3/2h3EEN_-(E)=\frac{4\pi(2m_-^*)^{3/2}}{h^3}\sqrt{E-E_-}

    其中 E>EFE_->E_F 是导带底的能量。
  • 价带顶空穴的能态密度

    N+(E)=4π(2m+)3/2h3E+EN_+(E)=\frac{4\pi(2m_+^*)^{3/2}}{h^3}\sqrt{E_+-E}

    其中 E+<EFE_+<E_F 是价带顶的能量。

# 电子和空穴的浓度

  • 电子浓度 (nn)

    n=Ef(E)N(E)dE=Ne(EEF)/kBTn=\int_{E_-}^\infty f(E)N_-(E)dE = N_-e^{-(E_--E_F)/k_BT}

    其中 NN_- 为导带电子有效能级密度,定义为:

    N=2(2πmkBT)3/2h3N_-=\frac{2(2\pi m_-^*k_BT)^{3/2}}{h^3}

  • 空穴浓度 (pp)

    p=E+(1f(E))N+(E)dE=N+e(EFE+)/kBTp=\int_{-\infty}^{E_+}(1-f(E))N_+(E)dE = N_+e^{-(E_F-E_+)/k_BT}

    其中 N+N_+ 为价带空穴有效能级密度,定义为:

    N+=2(2πm+kBT)3/2h3N_+=\frac{2(2\pi m_+^*k_BT)^{3/2}}{h^3}

  • 有效能级密度概念:在计算载流子浓度时,可以等效地用导带底能级 EE_- 和价带顶能级 E+E_+ 代替整个能带,载流子数就如同在导带底和价带顶处分别集中了 NN_-N+N_+ 个能态所含有的载流子数。

# 两种载流子浓度的乘积

  • 公式

    np=NN+exp(EgkBT)=ni2np = N_-N_+\exp\left(-\frac{E_g}{k_BT}\right) = n_i^2

  • 特点:在热平衡时,半导体中两种载流子浓度的乘积是一个仅与禁带宽度 EgE_g 及温度 TT 有关的量,而与费米能级 EFE_F 无关。

# 本征半导体

# 定义与特点

  • 定义:不含任何杂质及缺陷的半导体。
  • 载流子:电子受热激发,从价带跃迁到导带,在导带产生电子,同时在价带留下空穴。
  • 载流子浓度:电子数目等于空穴数目,统称本征载流子。其浓度 nin_i 完全取决于半导体本身的性质。

# 本征载流子浓度与费米能级

  • 本征载流子浓度 (nin_i)

    ni=n=p=(NN+)1/2exp(Eg2kBT)n_i = n = p = (N_-N_+)^{1/2}\exp\left(-\frac{E_g}{2k_BT}\right)

    • 随温度升高而呈指数增加。
    • 与带隙宽度有关,带隙越小,浓度越高。
  • 本征费米能级 (EFiE_{Fi})

    EFi=E+E+2+34kBTln(m+m)E_{Fi} = \frac{E_-+E_+}{2} + \frac{3}{4}k_BT\ln\left(\frac{m_+^*}{m_-^*}\right)

    • 在一般情况下,由于 kBTk_BT 较小且 mhm_h^*mem_e^* 相差不大,本征半导体的费米能级 EFiE_{Fi} 近似地位于带隙的中间。

# 杂质与杂质激发

# 非简并半导体

  • 杂质能级:半导体中的杂质或缺陷(如空位、间隙原子、位错)会破坏严格的周期性势场,从而在带隙中产生局域化的电子态——杂质能级。
  • 非简并条件:杂质浓度远小于半导体原子浓度,施主电子或受主空穴之间不存在相互作用,杂质在半导体中引入分离的杂质能级。

# 施主杂质

  • 定义:杂质在能隙中提供带有电子的能级,其束缚能(电离能)Ei=EEDE_i = E_--E_D 很小。
  • 类型:如在Si或Ge中掺入五价元素(P, As, Sb)形成N型半导体。
  • 导电机制:电子由施主能级激发到导带远比价带激发容易,N型导电几乎完全依靠施主热激发到导带的电子。

# 受主杂质

  • 定义:杂质提供带隙中空的能级,其束缚能(电离能)Ei=EAE+E_i = E_A-E_+ 很小。
  • 类型:如在Si或Ge中掺入三价元素(B, Al, In)形成P型半导体。
  • 导电机制:电子由价带激发到受主能级比激发到导带容易,P型导电几乎完全依靠受主热激发到导带的空穴。

# 浅能级与深能级杂质

  • 浅能级杂质:能级靠近导带或价带,其对电子或空穴的束缚能很小,载流子将以杂质跃迁产生为主。
  • 深能级杂质:能级位于禁带中部,通常为多重能级,如Au在Si中。它们是有效的复合中心,会降低载流子寿命,也可作为补偿杂质提高材料电阻率。

# 载流子浓度与费米能级

  • N型半导体
    • 多数载流子(电子)浓度 (nn)
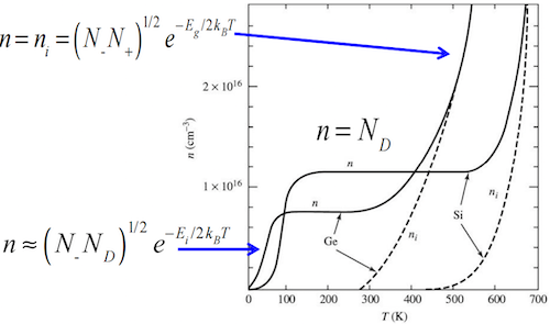
      • 低温时:n(NND)1/2eEi/2kBTn \approx (N_-N_D)^{1/2}e^{-E_i/2k_BT},随温度指数增加。
      • 高温时:nNDn \approx N_D,施主几乎全部电离激发。
    • 费米能级 (EFE_F)EF=EFi+kBTln(n/ni)E_F = E_{Fi} + k_BT\ln(n/n_i)。掺杂浓度越高,费米能级越靠近导带。
  • P型半导体
    • 多数载流子(空穴)浓度 (pp)
      • 低温时:p(NAN+)1/2eEi/2kBTp \approx (N_AN_+)^{1/2}e^{-E_i/2k_BT}
      • 高温时:pNAp \approx N_A
    • 费米能级 (EFE_F)EF=EFikBTln(p/ni)E_F = E_{Fi} - k_BT\ln(p/n_i)。掺杂浓度越高,费米能级越靠近价带。
  • 少数载流子浓度:在非本征半导体中,少数载流子浓度可由 ni2=npn_i^2=np 关系得到。

# 简并半导体

  • 定义:当杂质浓度非常高,以至于杂质原子之间相互作用加强,分离的杂质能级分裂并展宽形成能带,费米能级进入导带或价带。
  • 费米统计:此时玻尔兹曼分布近似不再适用,必须使用费米-狄拉克分布来计算载流子浓度。

# 补偿半导体

  • 定义:在半导体中既掺有施主又掺有受主的半导体。
  • 载流子浓度:在完全电离条件下,载流子浓度由施主和受主浓度的差值决定。
    • N型补偿半导体:当 ND>NAN_D > N_A,电子浓度 nNDNAn \approx N_D - N_A
    • P型补偿半导体:当 NA>NDN_A > N_D,空穴浓度 pNANDp \approx N_A - N_D
  • 特性:由于杂质的补偿作用,有效载流子浓度很小,因此补偿半导体的电阻率很高。

# 载流子的迁移

# 迁移率与电导率

  • 迁移率 (μ\mu):定义为单位电场下载流子的平均漂移速度。
  • 电导率 (σ\sigma)

    σ=nqμ+pqμ+\sigma = nq\mu_- + pq\mu_+

    其中 μ\mu_-μ+\mu_+ 分别是电子和空穴的迁移率。
  • 欧姆定律:电流密度 j=σEj = \sigma E
  • 迁移率公式μ=qτm\mu=\frac{q\tau}{m^*},其中 τ\tau 为平均弛豫时间。

# 迁移率的影响因素

  • 温度
    • 低温:主要受杂质散射影响。温度升高,杂质散射作用减弱,迁移率增大,μT3/2\mu \propto T^{3/2}
    • 高温:主要受晶格散射影响。温度升高,晶格振动增强,散射作用增大,迁移率下降,μT3/2\mu \propto T^{-3/2}
  • 掺杂浓度:载流子的迁移率由总的掺杂浓度决定。掺杂浓度越高,杂质散射越强,迁移率越低。

# 半导体的电导率特性

  • 电导率随温度变化:除了饱和区外,电导率随温度升高呈指数形式迅速增大,表现出很强的热敏性。
  • 与金属的比较
    • 金属:载流子浓度几乎不变,电导率主要由迁移率决定,而迁移率随温度升高而减小,故金属电导率随温度升高而下降。
    • 半导体:载流子浓度随温度呈指数变化,是决定电导率的主要因素,因此电导率随温度升高而迅速增大。